Como cada cuatro años, en la Comunidad Valenciana, ya ha llegado el momento de la declaración de producción de aguas residuales, que se debe realizar a lo largo de este primer trimestre del 2018 para el cálculo del Canon de Saneamiento. Ambientalys nos explica qué empresas deben realizar la declaración y cómo se calcula el Canon.
Declaración del Canon de Saneamiento de la Comunidad Valenciana
El Canon de Saneamiento es un tributo establecido por la Generalitat Valenciana, mediante la Ley 2/1992, de 26 de marzo, de Saneamiento de las Aguas Residuales de la Comunidad Valenciana y que se exige desde 1993.
Este Canon es un impuesto ecológico porque, con su recaudación, se financian los gastos de gestión y explotación de las instalaciones de evacuación, tratamiento y depuración de aguas residuales de titularidad pública y las obras de construcción de las mismas y, por lo tanto, es el ingreso específico de la Entitat Pública de Sanejament d’Aigües Residuals, más conocida como EPSAR. Grava la producción de aguas residuales manifestada a través del consumo de agua industrial y doméstico y su pago afecta tanto a los suministros de red como a los propios.
Este Canon se calcula mediante una analítica de aguas, que nos dará idea de la calidad de dicha agua, con lo que gracias a esta calidad, y otros factores, se obtiene un coeficiente corrector que puede ir desde 0,1 hasta 8, gravando más a aquellos cuyos niveles de contaminación son muy superiores a los captados por la instalación, es decir, si tomamos un agua proveniente de nuestro suministro, ya sea de red o propio, y no se le somete a ningún proceso contaminante el factor corrector tendrá el valor mínimo. Cabe recordar que el uso de un agua para temas únicamente domésticos no excluye de realizar esta declaración siempre y cuando se cumplan los requisitos que indicaremos a continuación.
¿Qué empresas deben realizar la declaración?
Como regla general esta declaración la deben realizar todas aquellas empresas y establecimientos cuyo consumo de agua supere los 3.000 m3 anuales y aquellas que sin superarlo pertenezcan a las secciones B, C, D, E del CNAE 93 o quieran beneficiarse de la aprobación de un coeficiente corrector (un ajuste del canon de saneamiento), así como los que hayan sufrido una inspección pero no hayan tenido un cambio de coeficiente y las empresas que todavía no hayan presentado el MD-301.
Dichas empresas y establecimientos pueden realizar dos tipos de usos o consumos del agua y que se considerarán para el cálculo del Canon de Saneamiento. Dichos usos serán:
- Doméstico: Consumos realizados en viviendas que den lugar a aguas residuales generadas por el metabolismo humano y las actividades domésticas, llenado de piscinas y riego de cualquier superficie no considerada agraria. También se pueden considerar como domésticos aquellos usos industriales que no superen los 3.000 m3 al año.
- Industrial: Consumo de agua distinto al doméstico
Pero hay excepciones a la declaración del Canon de Saneamiento. Este no se exigirá a:
- Los consumos domésticos de los municipios cuya población de derecho incrementada, en su caso, con la media ponderada de concentración estacional, no alcance los 500 habitantes.
- Los consumos de agua destinados a sofocar incendios y regar parques o jardines públicos
- La alimentación de agua para fuentes públicas ornamentales.
¿Cómo se calcula el Canon de Saneamiento?
El Canon de Saneamiento se calcula en función de la cuota de consumo y la cuota de servicio mediante la siguiente fórmula:
Cs = (QS + QC · VC) · CC
Ecuación 1
Donde:
- Cs: Canon de Saneamiento (€/año)
- QS: Cuota servicio (€/año)
- Qc: Cuota consumo (€/m3)
- Vc: Volumen consumido (m3/año)
- Cc: Coeficiente corrector
Tanto la cuota de servicio (Qs) como la de consumo (Qc) dependen de los usos que se le dé al agua y se actualizan anualmente. A partir del 1 de enero de 2018, las tarifas del canon de saneamiento que se establecen en la Ley 22/2017 de 29 de diciembre de presupuestos de la Generalitat para el ejercicio 2018 son las siguientes:
- Usos domésticos: De acuerdo con los siguientes tramos de población, determinados según el último censo:
|
Población municipio (nº habitantes) |
Cuota de consumo (€/m3) |
Cuota de servicio (€/año) |
| Entre 500/3.000 | 0,321 | 32,43 |
| Entre 3.001/10.000 | 0,376 | 39,75 |
| Entre 10.001/50.000 | 0,412 | 43,81 |
| Superior a 50.000 | 0,441 | 44,83 |
-
Usos industriales (no domésticos) con consumos de agua inferiores a 3.000 m3/año: Si no tienen aprobado un coeficiente corrector, la tarifa del canon es la establecida para usos domésticos en el municipio en el que se ubique la empresa, local o establecimiento correspondiente. Para ello, se utiliza siempre como referencia el consumo producido en el año anterior. En el momento que se aprueba el coeficiente corrector, le serán de aplicación las tarifas del siguiente párrafo.
-
Usos industriales (no domésticos) con consumos de agua superiores a 3.000 m3/año:
Cuota de consumo: 0,570 €/m3
Cuota de servicio:
| Calibre del contador | Cuota de servicio (€/año) |
| Hasta 13 mm | 116,39 |
| Hasta 15 mm | 174,48 |
| Hasta 20 mm | 290,65 |
| Hasta 25 mm | 407,05 |
| Hasta 30 mm | 581,67 |
| Hasta 40 mm | 1.163,34 |
| Hasta 50 mm | 1.745,02 |
| Hasta 65 mm | 2.326,47 |
| Hasta 80 mm | 2.908,34 |
| Mayor de 80 mm | 4.071,50 |
Cuando no existan contadores y se trate de usuarios a los que sean de aplicación las tarifas por usos industriales, se utilizará la siguiente equivalencia entre consumo de agua y calibre del contador:
| m3/año | Calibre contador (mm) |
| Hasta 5.000 | 13 |
| De 5.001 a 7.500 | 15 |
| De 7.501 a 12.500 | 20 |
| De 12.501 a 17.500 | 25 |
| De 17.501 a 25.000 | 30 |
| De 25.001 a 50.000 | 40 |
| De 50.001 a 75.000 | 50 |
| De 75.001 a 100.000 | 65 |
| De 100.001 a 125.000 | 80 |
| Más de 125.000 | Mayor de 80 |
Cuando no existan contadores y se trate de usuarios a los que sean de aplicación las tarifas por usos industriales, se utilizará la siguiente equivalencia entre consumo de agua y calibre del contador:
El siguiente factor de la Ecuación 1 es el volumen consumido (Vc) que se determina, como regla general mediante la lectura directa del contador.
Si no existe contador nos podemos encontrar en los siguientes escenarios:
- Si los suministros son propios o procedentes de personas o entidades suministradoras para usos domésticos se evaluará a razón de 200 l/persona y día, considerando 3 personas por vivienda si no tenemos censo de domiciliado u ocupantes, por lo tanto, en algunos casos puede resultar desfavorable esta estimación.
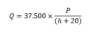
- Si es para usos industriales y de captación subterránea se aplica la fórmula:

- Q: Consumo mensual en m3.
- P: Potencia nominal del grupo o grupos elevadores en kW.
- H: Profundidad media del acuífero en la zona expresada en m.
Esto significa que al no haber contador, la EPSAR considerará que el consumo equivale al volumen de agua que puedan elevar todas las bombas aunque sean de reserva, por lo tanto esa estimación saldrá superior a nuestro consumo real, por lo tanto saldría a cuenta poner un contador que realizar esta estimación.
- Si es para usos industriales y se trate de recogida de aguas pluviales, el consumo anual de agua se estimará como el doble de la capacidad de los depósitos de recogida.
- Si es para usos industriales pero hay una autorización o concesión administrativa será el que figure en la autorización.
Por otro lado, si el consumo es de suministros propios pero existe contador se debe realizar una declaración de consumos en cada trimestre acorde al modelo MD-203.
Por último, volviendo a la Ecuación 1, nos queda estimar el Coeficiente corrector (Cc). Este coeficiente, como vemos en la fórmula siguiente, incrementa o disminuye la cuota de servicio y la de consumo del canon de saneamiento para usos industriales. Va a depender del agua evaporada, incorporada al producto, extraída de la materia prima y de la carga contaminante del agua vertida. Esto se ve claramente en la fórmula utilizada para la determinación de este coeficiente:
Cc = ICV x IP x (ICC + ICE)
Ecuación 2
- ICV: Índice corrector de volumen
- IP: Índice punta
- ICC: Índice de carga contaminante
- ICE: Índice de contaminación específica
El índice corrector de volumen (ICV) viene dado por:

- A: Volumen anual total de agua consumida
- B0: Volumen anual total de agua extraída de materias primas
- B1: Volumen anual total de agua incorporada a productos
- B2: Volumen anual total de agua perdida por evaporación
El siguiente factor para la determinación del Coeficiente Corrector, de la Ecuación 2, es el índice punta (IP) que expresa la relación existente entre la carga contaminante vertida con valores superiores a los medios del vertido y dichos valores medios. Para su determinación se precisa de un estudio más exhaustivo. Si no se ha realizado dicho estudio se le da el valor de 1,25.
Otro factor de la Ecuación 1 es el índice de carga contaminante (ICC) que expresa el grado de contaminación utilizando como referencia un vertido urbano (los valores de referencia los podemos ver al final del párrafo). La variación de contaminación entre el vertido y el abastecimiento respecto a la referencia es lo que nos da este índice. Esto significa que se debería analizar el agua de vertido y el de abastecimiento. El de vertido es obligatorio, pero el de abastecimiento nos puede servir para conocer si existe alguna contaminación en el mismo que de otra manera se nos achacaría, con lo cual la analítica del agua de abastecimiento podría mejorarnos el ICC y, por ende, el Cc. Para entenderlo mejor, si tenemos un pozo contaminado y su NKT es de 60 y este parámetro lo vertemos a 60 la variación de contaminación es 0, mientras que si no se analiza el abastecimiento la relación sería que contaminamos en NKT por valor de 60 y respecto al valor de referencia = 1,2.
| Parámetro | Valores de referencia |
| S.S. | 300 mg/l |
| DBO5 | 300 mg/l |
| DQO | 500 mg/l |
| NKT | 50 mg/l |
| PT | 20 mg/l |
| Conductividad | 2.000 µS/cm |
| Toxicidad | 3,0 U.T. |
| pH | 5,5-9 |
| Cinc total | 5,0 mg/l |
| Cobre total | 1,0 mg/l |
| Níquel total | 5,0 mg/l |
| Cadmio total | 0,5 mg/l |
| Plomo total | 1,0 mg/l |
| Cromo total | 2,5 mg/l |
| Mercurio total | 0,1 mg/l |
El índice de Contaminación Especial (ICE) refleja la contaminación del vertido por la presencia de metales pesados y para su determinación también es necesaria la intervención de un laboratorio de análisis.
Para la determinación de estos dos índices es, como estamos viendo, necesaria la participación de un laboratorio de análisis.
Este laboratorio debe estar homologado para la realización de análisis de aguas residuales conforme a la orden MAM/985/2006. Es preferible que se encuentre acreditado bajo la norma UNE-EN-ISO 17025 ya que garantiza la fiabilidad de los análisis así como de su peso legal ante cualquier requerimiento.
Según el tipo de industria se pueden realizar dos tipos de análisis:
- Tipo A: pH, Conductividad eléctrica, Sólidos en Suspensión, DQO, DBO5, NKT, Ptot, Toxicidad.
- Tipo B: Cromo total, Zinc total, Cadmio total, Cobre total, Níquel total, Plomo total, Mercurio total.
Aquellas empresas que se encuentren en el siguiente listado del CNAE 93 realizarán el análisis Tipo A+B:
| DIVISIÓN CNAE 93 | CLASE O SUBCLASE AFECTADOS |
| 12 Extracción de minerales de uranio y torio | Todos |
| 13 Extracción de minerales metálicos | Todos |
| 14 Extracción de minerales no metálicos ni energéticos | 14.303 Extracción de piritas y azufre |
| 18 Industria de la confección y de la peletería | 18.301 Preparación, curtido y teñido de pieles de peletería |
| 19 Preparación, curtido y acabado del cuero | 19.100 Preparación, curtido y acabado del cuero |
| 23 Refino del petróleo y tratamiento de combustibles nucleares | Todos |
| 24 Industria química | Todos |
| 26 Fabricación de otros productos minerales no metálicos |
26.1 Fabricación de vidrio y productos de vidrio 26.3 Fabricación de azulejos y baldosas cerámicas |
| 27 Metalurgia y fabricación de productos metálicos | Todos |
| 28 Fabricación de productos metálicos, excepto maquinaria y equipo. | Todos |
| 29 Industria de la construcción de maquinaria y equipo mecánico | Todos |
| 31 Fabricación de maquinaria y material eléctrico |
31.3 Fabricación de hilos y cables eléctricos aislados 31.4 Fabricación de acumuladores y pilas eléctricas 31.5 Fabricación de lámparas eléctricas y aparatos de iluminación |
| 34 Fabricación de vehículos a motor, remolques y semirremolques | Todos |
| 35 Fabricación de otros materiales de transporte | Todos |
| 36 Fabricación de muebles, otras industrias manufactureras |
36.2 Fabricación de artículos de joyería, orfebrería, platería y artículos similares 36.610 Fabricación de bisutería |
| 37 Reciclaje |
37.1 Reciclaje de chatarra y desechos de metal |
El resto de empresas caracterizarán lo vertidos de acuerdo únicamente con el Tipo A en todos los puntos de vertido a no ser que la EPSAR considere que también deben realizar el análisis Tipo B.
Los análisis tienen una validez de tres meses desde su realización para poderlos utilizar en la presentación del modelo MD-301.
La toma de muestras puede ser puntual o integrada y en ambos casos el laboratorio levantará un acta de toma de muestras de acuerdo al formato establecido por la EPSAR.
En el caso de que el vertido de la empresa sea asimilable a urbano, no es necesario realizar estas analíticas y se sustituirá por un certificado de aguas sanitarias que realizará un técnico independiente. Por otro lado, si la empresa ya realizó dicho certificado y no ha habido ninguna modificación, únicamente será necesaria una Declaración de Confirmación que realizará el interesado.
Con todas estas indicaciones, esperamos haber ayudado a identificar qué es lo necesario para la realización del Canon de Saneamiento y haber podido dar nociones de cómo hacer los cálculos para la determinación del coeficiente corrector. En cualquier caso, y ante cualquier duda que pueda surgir, conviene recordar que en Ambientalys Consultoría y Análisis queremos ayudarte con este trámite. Contacta con nosotros.
Autor: Fernando Francisco Galván
Dtor. Comercial de Ambientalys Consultoría y Análisis, S.L.