Los insectos, beneficiosos para las sociedades humanas en muchas ocasiones, representan también a veces un serio y caro problema, por su capacidad de transmitir enfermedades y dañar cultivos e infraestructuras. Los costes globales asociados a los insectores invasores ascenderian a casi 80 billones anuales de dólares y, según el estudio que publica estos datos, están ampliamente subestimados.
Los persistentes insectos invasores
Los insectos, probablemente el grupo animal que más caro resulta para la sociedad humana, están relacionados con problemas como la transmisión de enfermedades infecciosas, pérdida de cosechas, bosques enfermos y degradados, infraestructuras dañadas o alteraciones graves de los ecosistemas.
Esta clase de invertebrados, con sus incontables especies, forman parte asimismo de las especies invasoras más persistentes que existen. Por ejemplo, el 87% de los, aproximadamente 2.500, invertebrados terrestres no nativos que hay en Europa son insectos.
Dos fenómenos contribuyen principalmente a un aumento de la frecuencia de introducciones y potenciales distribuciones expansivas de los insectos invasores: el comercio internacional y el calentamiento global.
Las invasiones se ven agravadas por el aumento de las poblaciones humanas, el transporte, la migración o el comercio internacional, a pesar de las políticas dirigidas a controlar a las especies invasoras. Y, además las previsiones de futuro son preocupantes, ya que las proyecciones de cambio climático hasta 2050 predicen un aumento del 18% en el área de emergencia de los invasores artrópodos actuales.
Coste económico global
Estimar el enorme coste económico global real que causan estos pequeños animales es dificil, por no decir imposible. Asi lo exponen un grupo internacional de investigadores en un estudio publicado en la revista Nature Communications.
Su trabajo, basado en la revisión de literatura y bases de datos sobre el impacto económico que tienen los insectos invasores, constata que la información está focalizada regionalmente, cubre períodos variables y no siempre se basa en datos verificables. En consecuencia, la extrapolación de los costes locales a escala mundial es un reto y pocos estudios han intentado superar los muchos defectos inherentes a este enfoque.
Los autores determinaron la reproducibilidad de las estimaciones de costos de cada estudio, mediante la identificación de la fuente de todos los valores utilizados, para extrapolar los costes regionales. Cuando los valores estaban basados en medidas reales y las estimaciones presentaban una metodología clara, se consideraron "reproducibles". Los estudios que no cumplian estos criterios, se categorizaron como "no reproducibles".
Siguiendo este planteamiento, el estudio se atreve a estimar que los insectos invasores representan, a nivel global, un coste minimo de 70 billones de dólares en bienes y servicios, asi como más de 6,9 billones de dólares asociados a costes sanitarios. El coste total seria, no obstante, sustancialmente mayor que el presentado en el estudio y, actualmente, se considera incalculable.
Costes en bienes y servicios
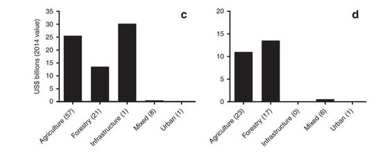
De los 70 billones de dólares de costes estimados en bienes y servicios, los datos obtenidos en el estudio señalan a Norteamérica como la región con cifras más altas (más de 27,3 billones anuales), seguida de Europa (3,6 billones), aunque estos resultados son, probablemente un reflejo de la intensidad de compilación de datos, más que un reflejo real de los costes regionales relativos.



La agricultura y la industria forestal, seguidos de las infraestructuras, son los sectores más castigados por las especies invasoras de insectos.
La especie que más costes origina, según las estimaciones no reproducibles, es la termita subterránea de Formosa (Coptotermes formosanus) (más de US$30,2 billones anuales globales). En cambio, el ranking de las estimaciones reproducibles lo lidera la polilla de la col (Plutella xylostella) con US$4,6 billones anuales.
Otros insectos con un fuerte impacto económico son el escarabajo café de cuernos largos (Tetropium fuscum) con $4,5 billones anuales en Canadá, la polilla gitana asiática (Lymantria dispar) con US$3,2 billones anuales en Norteamérica y el escarabajo asiático de cuernos largos (Anoplophora glabripennis) con US$3,0 billones en Norteamérica y Europa.
Costes en salud humana
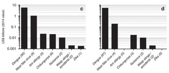
Los costes globales de salud atribuibles directamente a los insectos invasores superan los US$ 6,9 billones anuales. Estas cifras excluyen los costes producidos por la malaria, ya que esta enfermedad, en la mayor parte de su distribución geográfica, no se debe a insectos vectores invasores sino propios de las zonas endémicas. Aunque los casos de malaria 'importados' a zonas no endémicas si que producen costes de tratamiento y profilaxis.
El estudio excluye también, por falta de datos, el impacto económico sobre factores como la productividad, los ingresos, el turismo o la protección del personal.


El dengue, producido por un virus transmitido por los mosquitos Aedes albopictus y Ae. aegypti, representa el 84% del total de costes sanitarios, seguido por la fiebre del Nilo Occidental, transmitido por mosquitos Culex spp, con un 15%.
Asia (US$2.84 billones), Norteamérica (US$2.06 billones) y América Central y del Sur (US$1.85 billones) registraron los costes anuales más elevados.
Fuente: Bradshaw, C. J. A. et al. Massive yet grossly underestimated global costs of invasive insects. Nat. Commun. 7, 12986 doi: 10.1038/ncomms12986 (2016).
Imagen: Coptotermes formosanus, Scott Bauer, USDA Agricultural Research Service, Bugwood.org